Алматы қаласы
білім басқармасының
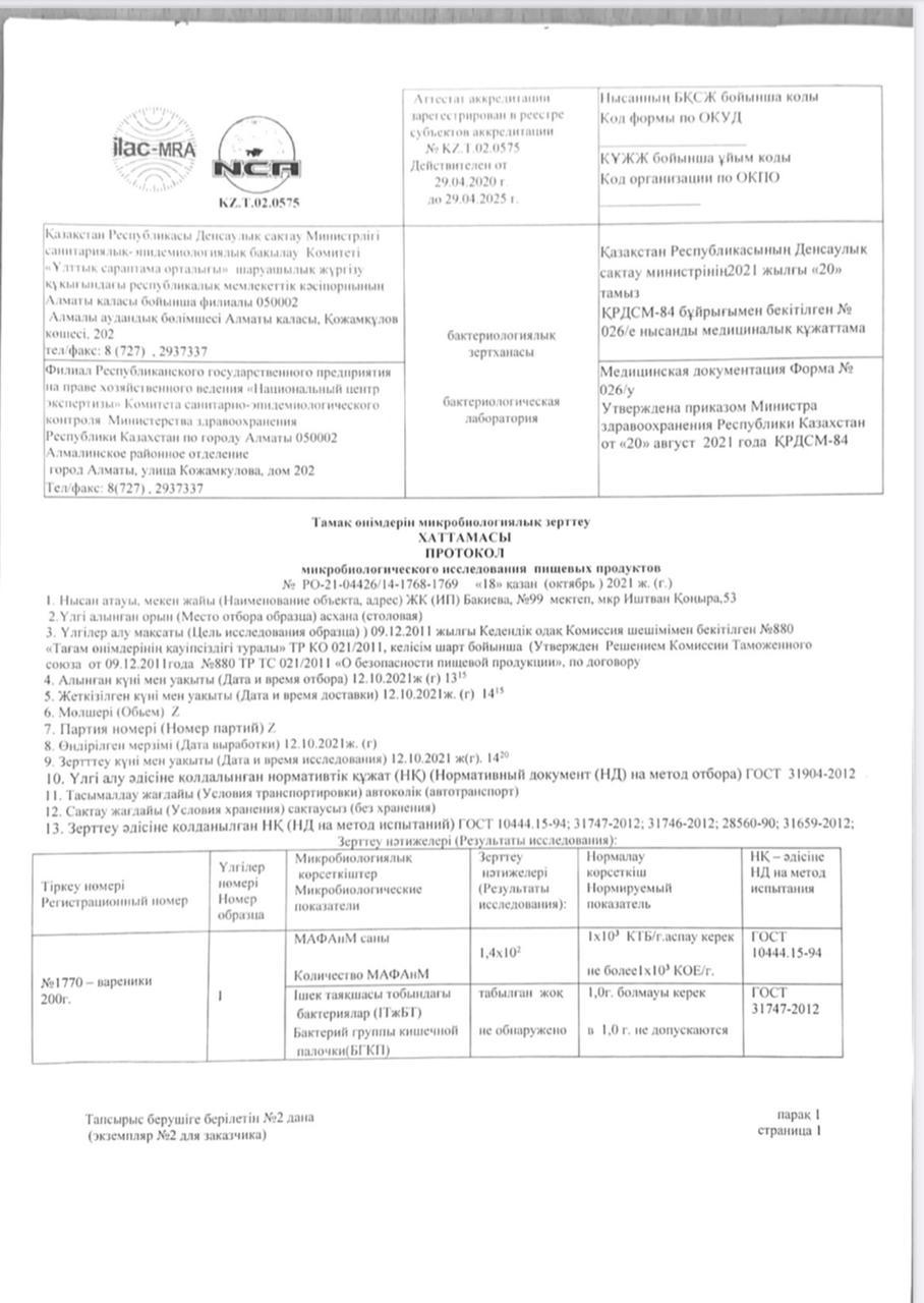
"№99 жалпы білім беретін мектеп"
коммуналдық мемлекеттік мекемесі
Қабылдау бөлімі :
+7(727) 231-09-49
Есепші бөлімі:
+7(727) 234-52-83
eOtinish.kz
Нашар көрушілер
нұсқасы
» » » Санитариялық-эпидимиологиялық қорытынды/ Санитарно-эпидемиологическое заключение